
Find the perfect MBR Membrane Manufacturer and Exporter
How to Design Flux of MBR & UF Membranes for STP and ETP Applications
Membrane bioreactors (MBR) and ultrafiltration (UF) membranes have revolutionized wastewater treatment, offering compact footprints, high-quality effluent, and operational flexibility. One of the most critical design parameters in these systems is flux—the rate at which water passes through the membrane per unit area.
Correct flux design ensures optimal performance, long membrane life, and energy efficiency, while preventing fouling, scaling, or frequent cleaning. In this blog, we’ll dive into practical guidelines for designing MBR and UF membrane flux in Sewage Treatment Plants (STP) and Effluent Treatment Plants (ETP).
What is Membrane Flux?
Flux is defined as the volume of water permeating through a unit membrane area per hour. It is typically expressed in liters per square meter per hour (LMH).
Formula:

High Flux: Increases water production but may increase fouling and reduce membrane life.
Low Flux: Reduces fouling and extends membrane life but may require a larger membrane area and higher CAPEX.
Flux Design for STP (Sewage Treatment Plant)
Typical Flux Value: 15 LMH
Why 15 LMH for STP?
- Domestic wastewater is relatively low in suspended solids and contaminants compared to industrial effluent.
- MBR membranes in STP operate in a biological environment where some fouling is expected. 15 LMH is considered optimal to balance water recovery, membrane life, and cleaning frequency.
Design Example:
- Influent Flow: 100 m³/day (~4.17 m³/h)
- Flux: 15 LMH
- Required Membrane Area:

Key Considerations for STP Flux Design:
TSS (Total Suspended Solids) typically 200–300 mg/L.
Aeration and MLSS (Mixed Liquor Suspended Solids) control to avoid excess fouling.
Periodic Cleaning-In-Place (CIP) based on TMP (Transmembrane Pressure) increase.
Flux Design for ETP (Effluent Treatment Plant)
Typical Flux Value: 12 LMH
Why 12 LMH for ETP?
- Industrial effluent often contains high TDS, chemicals, and organic loading, which can cause more fouling.
- Lower flux reduces membrane fouling and scaling, ensuring longer membrane life and consistent performance in challenging conditions.
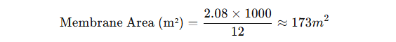
Design Example:
- Influent Flow: 50 m³/day (~2.08 m³/h)
- Flux: 12 LMH
- Required Membrane Area:

Key Considerations for STP Flux Design:
Pre-treatment to reduce TSS, oil & grease, and large particulates.
Use of anti-fouling membranes to handle chemical contaminants.
Strict monitoring of TMP and cleaning frequency.
Factors Affecting Flux Selection
-
Wastewater Quality:
- Higher TSS and COD require lower flux.
- Industrial effluent usually demands 10–12 LMH, domestic 12–18 LMH.
-
Membrane Type:
- UF membranes handle larger particulates and are less prone to fouling.
- MBR membranes combine biological treatment with filtration, needing careful flux control.
-
Temperature and Viscosity:
- Higher water temperature increases permeability, but extreme changes can stress the membrane.
-
TMP (Transmembrane Pressure):
- TMP increases as membranes foul; designing flux to maintain TMP within recommended limits is critical.
Best Practices for Flux Management
Start Low, Then Optimize:
Begin operation at slightly lower flux to monitor fouling, then gradually increase if stable.
Regular Cleaning:
CIP schedule should be based on TMP rise, not just operating time.
Online Monitoring:
Use real-time flow, pressure, and turbidity sensors for operational adjustments.
Membrane Area Redundancy:
Always design with 10–15% extra membrane area for operational flexibility.
Blufox Expertise in MBR & UF Membrane Flux Design
At Blufox Ecoventures LLP, we specialize in providing optimized MBR and UF membranes for both STP and ETP applications. Our team ensures:
Correct flux selection based on wastewater characteristics.
Membrane systems designed for long lifespan and minimal maintenance.
Customized solutions for domestic and industrial wastewater.
Proven track record in STP and ETP installations across India
Conclusion
Flux design is a critical parameter in MBR & UF membrane systems. Selecting the right flux ensures operational efficiency, reduces fouling, and maximizes membrane life. For STP, a typical flux of 15 LMH works best, while ETP systems often require 12 LMH due to harsher wastewater characteristics.
By following these principles and leveraging Blufox’s expertise, industries can achieve reliable, sustainable, and cost-effective wastewater treatment.
MBR Membrane Price
BF Series Hollow Fiber MBR Membrane

Hollow Fiber MBR (membrane bioreactor) membranes are a type of membrane used in wastewater treatment systems to purify and remove impurities from wastewater.
SUS Series Hollow Fiber MBR Membrane

Hollow Fiber MBR (membrane bioreactor) membranes are a type of membrane used in wastewater treatment systems to purify and remove impurities from wastewater.
Submerge Type Poreflon Module

POREFLON Membrane Modules are durable high – quality membranes that have a chemical and thermal resistance. These modules are reasonably priced and easy to handle.
Cross Flow Membrane

Cross Flow (Membrane Bioreactor) membranes are a type of filtration membrane configuration used in wastewater treatment processes.
SiC/Ceramic Membrane

SiC / Ceramic Membrane MBR (Membrane Bioreactor) membranes are a type of filtration membrane used in wastewater treatment processes.
Reverse Osmosis (RO) Membrane

Reverse Osmosis(RO) Membranes are a specialized type of membrane designed for high-efficiency water purification across wide range of applications.
Ultra Filtration (UF) Membrane

ZETA – Ultrafiltration membranes are designed for the separation of particles & micromolecules from liquids through a size based filtration process.
Applications
Membrane reactors are used throughout the world, for industrial as well as municipal wastewater.
For industrial wastewater, there are various full-scale applications in a variety of industrial sectors, such as foods, (petro) chemicals, pharmacy, electronics, laundries, paper, textile, agriculture, abattoirs, and percolate waters from disposal sites and hospitals.
Other sectors where MBR may be implemented include the Processing of finished oil, sludge from wastewater purification, car body repair and car body companies, car and truck wash, the graphics industry, tank and barrel cleaning, paint, glaze, varnish and printing ink production, foundries, metal processing, and refineries.
Why Choose Blufox?
We are a high-tech enterprise specializing in wastewater treatment industries. We have the core technology of producing MBR membrane components and have high production capacity, aiming to build a high-quality brand of MBR production and sales all over the world.

Factory Supply
Our factory has 2 production lines dedicated to the production of MBR Membrane.

Great support
The staff you interface with are experienced and certified in their English language skills.

Design on Demand
You provide the project information and we generally will give you a solution.

Quality Standards
We have a very professional quality audit process after the production is completed.
Happy Clients
I have been working with Blufox for 2 years now, and I am glad I chose them from the beginning. Their products are of very high quality, and my clients have never complained about their products. Besides MBR membranes, they also have other good quality products, such as water pumps and air blowers, which suit my projects well. So if possible, I suggest you try their other products as well.
Hollow Fibre Membrane
Hollow Fibre Membranes
Top 10 MBR Membrane Companies in India
Top 5 MBR Membrane Companies in India
Membrane Bioreactors
Chemical MBR Packaged Membrane System
Chemical MBR Packaged Membrane
Hollow Fibre Membrane Modules
Introduction
Membrane bioreactor (MBR) technology is a highly efficient and cost-effective way of treating wastewater. It combines the conventional activated sludge process with membrane filtration technology to remove contaminants and produce high-quality effluent. The MBR process has gained popularity in India due to its ability to produce high-quality treated water, minimize environmental impact, and reduce operational costs. In this article, we will discuss MBR membrane manufacturers in India and why blufoxmembranes.com is the best company for it.
Hollow Fibre Membrane Modules Manufacturers in India
There are several MBR membrane manufacturers in India. Some of the popular manufacturers include:
Blufox Eco Ventures
Dow Chemicals India Pvt Ltd
Hydranautics – A Nitto Group Company
Toray Industries (India) Pvt. Ltd.
Pall India Pvt Ltd
Membrane Solutions Pvt Ltd
Pentair Water India Pvt Ltd
Blufox Membranes – The Best Company for MBR Membrane
Among the many MBR membrane manufacturers in India, Blufox Membranes stands out as the best company. Blufox Membranes is a leading provider of MBR membranes in India. The company specializes in the design, manufacturing, and supply of advanced membrane solutions for wastewater treatment applications. Blufox Membranes has established itself as a market leader in MBR membrane technology due to its commitment to quality, reliability, and innovation. Hollow Fibre Membrane Modules
Blufox Membranes produces high-quality membranes that are designed to provide optimal performance and durability. The membranes are manufactured using state-of-the-art equipment and advanced materials to ensure that they meet the highest standards of quality. Blufox Membranes also offers a wide range of membrane products to meet the needs of different wastewater treatment applications. These products include ultrafiltration (UF) membranes, microfiltration (MF) membranes, and nanofiltration (NF) membranes. Hollow Fibre Membrane Modules
Blufox Membranes has a team of experienced and knowledgeable professionals who are dedicated to providing excellent customer service. The company’s technical support team is always available to help customers with any technical questions or issues that they may have. Blufox Membranes also provides training and support to its customers to help them maximize the performance of their membrane systems. Hollow Fibre Membrane Modules
In addition to producing high-quality membranes, Blufox Membranes also offers cost-effective solutions to its customers. The company’s membranes are designed to be long-lasting and require minimal maintenance, which helps to reduce operational costs. Blufox Membranes also offers competitive pricing on its products, which makes it an affordable option for many wastewater treatment applications.
Conclusion
MBR membrane technology is becoming increasingly popular in India due to its ability to produce high-quality treated water, minimize environmental impact, and reduce operational costs. There are several MBR membrane manufacturers in India, but Blufox Membranes stands out as the best company for MBR membrane technology. Blufox Membranes produces high-quality membranes that are designed to provide optimal performance and durability. The company also offers excellent customer service, cost-effective solutions, and competitive pricing, which makes it an ideal choice for wastewater treatment applications. If you are looking for an MBR membrane manufacturer in India, we highly recommend blufoxmembranes.com.
Introducing the extraordinary world of Hollow Fibre Membrane Modules, where innovation and efficiency converge to redefine the realm of filtration and separation processes. These remarkable modules are the epitome of cutting-edge technology, harnessing the power of hollow fibres to revolutionize various industries and applications.
Imagine a network of slender, microscopic tubes intricately woven together, forming a labyrinthine matrix within the core of a compact module. These hollow fibres, composed of high-performance materials such as polymers or ceramics, possess an intricate structure that combines remarkable strength with exceptional permeability.
The true marvel lies in the remarkable capabilities of these hollow fibres. Each individual fibre acts as a conduit, enabling precise control over the separation and filtration processes. Fluids, gases, or even suspended particles encounter the intricate web of fibres, undergoing a meticulous journey of purification and extraction.
Within this intricate framework, countless applications come to life. From water treatment and desalination to pharmaceutical and biotechnological processes, Hollow Fibre Membrane Modules find their place at the forefront of scientific advancement. They elegantly tackle challenges ranging from removing impurities and contaminants to facilitating the separation of valuable compounds, all while minimizing energy consumption and waste production.
Their versatility knows no bounds. These modules gracefully navigate the intricate dance of separating components based on size, molecular weight, or even charge, effectively enabling the extraction of vital substances and the elimination of unwanted elements. The result is an enhanced and sustainable production process, ensuring the highest quality and purity for a myriad of industries.
Beyond their exceptional performance, these modules boast unparalleled scalability and flexibility. As the demand for filtration and separation grows, Hollow Fibre Membrane Modules effortlessly adapt, seamlessly integrating into existing systems or spearheading the design of novel architectures. Their modular nature allows for easy customization, enabling tailored solutions that meet the unique requirements of each application.
However, their impact extends beyond industries and laboratories. Hollow Fibre Membrane Modules have the potential to revolutionize the lives of millions, providing access to clean water in remote regions or disaster-stricken areas. Their ability to efficiently remove harmful pathogens and contaminants offers a glimmer of hope for those in dire need, uplifting communities and transforming lives.
In the realm of innovation, Hollow Fibre Membrane Modules stand tall, embodying the pinnacle of technological achievement in the field of filtration and separation. Through their exceptional capabilities, they redefine what is possible, empowering industries, enabling progress, and creating a brighter, more sustainable future for all.


